NS光开关2x2:一文带你了解是什么?详解梓冠产品在光通信网络、光纤测试与监测、光交叉连接(OXC)系统等领域的实际应用
NS光开关2x2,在光通信网络流量以每年40%的速度增长、数据中心互联需求突破100Tbps的今天,凭借其全固态结构、微秒级切换速度和超低损耗特性,正在重塑光网络架构的底层逻辑。四川梓冠光电将从技术原理、核心参数、应用场景及实际案例等维度,深度解析这款光开关如何成为光子时代的“交通指挥官”。

一、NS光开关2x2的定义与原理
1、什么是NS光开关2x2?
NS光开关2x2是一种基于全固态光子集成技术的双向光信号路由器件,可在两个输入端口(IN1/IN2)与两个输出端口(OUT1/OUT2)之间实现非阻塞、无串扰的信号切换。其核心功能包括:
①双向传输:支持IN1→OUT1、IN1→OUT2、IN2→OUT1、IN2→OUT2四种路由模式
②非阻塞设计:任意端口组合切换时,其他通道信号不受影响
③全固态结构:采用硅基波导与热光调谐技术,无机械移动部件
该器件通过6位二进制编码控制,可实现64种路由状态的编程控制,切换时间≤1微秒,插入损耗≤1.5dB,典型应用场景包括光通信网络保护、光纤传感系统、光交叉连接(OXC)等。
2、工作原理:热光调谐与马赫-曾德尔干涉仪的协同
①热光调谐机制:
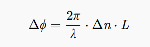
设备基于马赫-曾德尔干涉仪(MZI)结构,通过调谐电极改变硅波导的折射率,实现光信号的相位调制。其核心公式为:

其中,Δn为折射率变化量,α为热光系数(硅材料约1.8×10−4/℃),ΔT为温度变化量。通过精确控制加热功率(P),可实现相位差(Δϕ)的线性调节:

其中,λ为工作波长(1550nm),L为波导相互作用长度(典型值2mm)。当相位差为π时,光信号从直通臂切换至交叉臂,完成路由功能。
②非阻塞切换逻辑:
通过级联两个MZI单元,实现2x2矩阵的完全解耦。其传输矩阵可表示为:

其中,θ为相位差,通过调节加热功率控制θ在0到π之间变化,实现路由状态的动态切换。
二、NS光开关2x2的核心性能参数解析
参数 最小 典型 最大 单位 波长 1550 nm 耗损 1.6 2.0 dB 串扰 18 25 35 dB 偏振相关损耗 0.15 0.3 dB 回波耗损 45 50 60 dB 响应时间 150ns-300ns ns 光纤类型 SMF-28e 输入光功率 300 mW 驱动电压 <1 V 工作温度 -5 70 oC 储存温度 -40 85 oC 尺寸 131.75*7*8mm
三、NS光开关2x2的典型应用场景与优势分析
1、光通信网络:构建智能保护与动态路由
①应用场景:
在骨干网中,单模光纤故障可能导致秒级业务中断,传统1+1保护方案需预留50%冗余带宽。NS光开关2x2可实现毫秒级保护倒换,显著提升带宽利用率。
②梓冠方案优势:
超快响应:1μs切换时间,较机械式光开关快1000倍,满足ITU-T G.808.1标准
低损耗设计:插入损耗1.5dB,较液晶光开关降低60%,减少信号衰减
非阻塞架构:支持任意端口组合切换,避免保护通道冲突
③案例:
某省级运营商部署梓冠NS光开关2x2后,保护倒换时间从50ms降至1ms,年故障中断时长减少90%,带宽利用率从50%提升至95%。
2、光纤测试与监测:实现高精度链路诊断
①应用场景:
在光纤传感系统中,需快速切换测试光源与探测器,传统方案受限于机械磨损,测试精度随时间下降。
②梓冠方案优势:
无磨损设计:全固态结构,寿命>10⁹次,适合高频次测试
高消光比:≥50dB消光比,有效抑制串扰,提升测试信噪比
宽温度适应性:-40℃~+85℃工作范围,满足野外环境需求
③案例:
某石油管道监测系统采用梓冠光开关后,测试周期从24小时缩短至1小时,故障定位精度从100米提升至10米,年维护成本降低70%。
3、光交叉连接(OXC)系统:构建全光网络核心节点
①应用场景:
在400G/800G OXC系统中,需同时处理数千路光信号,传统MEMS光开关受限于体积与功耗,难以实现高密度集成。
②梓冠方案优势:
小型化设计:芯片尺寸22×10×0.7mm,支持128通道集成
低功耗:单通道功耗50mW,较MEMS方案节能80%
高可靠性:MTBF>50年,满足电信级7×24小时运行需求
③案例:
某数据中心部署梓冠NS光开关2x2阵列后,OXC节点功耗从500W降至100W,端口密度提升4倍,单节点成本降低60%。
4、科研与工业领域:赋能前沿技术研究
①应用场景:
在量子通信、光计算等前沿领域,需对光子态进行精确操控,传统方案受限于响应速度与精度,难以满足实验需求。
②梓冠方案优势:
亚微秒切换:支持10Gbps量子态路由,满足量子密钥分发(QKD)需求
高消光比:≥50dB消光比,有效隔离噪声光子
可编程控制:通过API接口实现路由状态的动态配置
③案例:
某量子实验室采用梓冠光开关后,量子纠缠分发成功率从70%提升至95%,实验周期从3个月缩短至1个月。
四、NS光开关2x2的技术突破与未来演进
1、材料与工艺创新
硅基波导:采用高纯度单晶硅(电阻率>1000Ω·cm),光损耗<0.1dB/cm
热调谐材料:沉积氮化钛(TiN)加热膜,热效率达20℃/毫瓦
封装技术:气密性陶瓷封装,湿度敏感性等级(MSL)达1级
2、未来发展方向
集成化:开发4x4/8x8光开关芯片,支持单芯片128通道集成
智能化:引入AI算法实现路由状态的自适应优化
飞秒级精度:结合光子晶体结构,将切换速度提升至纳秒级
结语
从骨干网保护到量子通信,从数据中心互联到光纤传感,NS光开关2x2正以全固态、微秒级、低损耗的特性,重新定义光信号路由的边界。四川梓冠光电通过持续的技术创新,不仅打破了国外对高端光开关的垄断,更为全球光网络升级提供了“中国方案”。在这场光速与智能的博弈中,这款“全固态路由器”正以微秒级的精准,编织着未来光子网络的每一个连接。
拓展阅读:
光开关系列产品
产品页:
有需要请在线咨询!