相位调制器:一文带你了解是什么?从工作原理、半波电压、主要参数、驱动模块、相位测试、与强度调制器的区别到选型指南全解析
相位调制器作为光通信系统的“相位雕刻师”,在5G基站密集部署、数据中心光互联需求激增、量子通信技术突破的今天,通过毫伏级电压控制实现光波相位的纳米级调控,支撑着相干光通信、量子密钥分发、光学传感等前沿技术。四川梓冠光电将从基础原理到应用场景,深度解析相位调制器的技术内核与选型指南。
一、相位调制器:光通信的“相位操控大师”
相位调制器是一种通过外部控制信号(如电压、光信号)实时改变光波或电磁波相位的器件。其核心功能是将电信号或光信号的信息编码到光载波的相位中,实现信息的高效传输。与强度调制器通过改变光强传递信息不同,相位调制器通过操控光波的“时间起点”实现调制,具有抗噪声能力强、调制效率高、支持高阶调制格式等优势。
典型应用场景:
1、相干光通信:作为发射端和接收端的核心器件,支持QPSK、16QAM等高阶调制格式,实现单波100G/400G甚至1Tbps的传输速率。
2、量子通信:在量子密钥分发(QKD)中操控光量子态的相位,确保密钥分发的安全性。
3、光学传感:通过检测微小相位变化(如温度、压力、应变引起的折射率变化),实现高灵敏度测量。
4、微波光子学:将微波信号加载到光载波上,实现微波信号的光域处理与传输。

二、相位调制器的工作原理:电光效应下的相位“雕刻术”
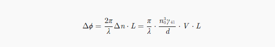
相位调制器的核心原理基于电光效应(普克尔斯效应):当光通过具有电光特性的介质(如铌酸锂、铌酸锂晶体)时,介质的折射率会随外加电场线性变化(Δn∝V),进而改变光波的传播常数β=2πn/λ。光波在长度为L的调制区域传播后,其相位变化量为:

其中,n0为晶体折射率,γ41为电光系数,d为电极间距,V为施加电压。通过控制电压V,可实现光波相位的线性或非线性调制。
典型结构:
1、波导型相位调制器:将光波限制在波导中传播,通过电极施加电压改变波导区域的折射率,实现相位调制。具有调制效率高、体积小、易于集成等优点。
2、光纤型相位调制器:通过压电陶瓷拉伸光纤或改变光纤长度实现相位调制。适用于需要长光程或特殊封装的应用场景。
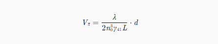
三、相位调制器的半波电压Vπ:调制效率的“标尺”
半波电压Vπ是相位调制器的核心参数,定义为使光波相位变化π(180度)所需施加的电压。其数学表达式为:

其中,λ为光波波长,n0为晶体折射率,γ41为电光系数,L为调制区域长度,d为电极间距。Vπ越小,调制效率越高,即用更低的电压即可实现相同的相位变化。
典型值:
铌酸锂(LiNbO₃)相位调制器:Vπ≈3-10V(波长1550nm时)。
磷化铟(InP)相位调制器:Vπ≈1-5V(波长1310nm时)。
聚合物相位调制器:Vπ≈10-50V(波长850nm时)。
应用意义:
调制效率:Vπ直接影响调制器的驱动电压需求,低Vπ可降低系统功耗和成本。
系统设计:在相干光通信中,Vπ与调制带宽共同决定系统的传输性能。
四、相位调制器的核心作用:从信号调制到精密测量
相位调制器在光通信和光学传感中扮演多重角色:
1、信号调制:将基带信号(电信号或光信号)编码到光载波的相位中,实现信息的高效传输。例如,在相干光通信中,相位调制器与马赫-曾德尔调制器(MZM)结合,支持QPSK、16QAM等高阶调制格式,显著提升频谱效率。
2、相位稳定:在雷达和测量系统中,相位调制器可保持载波相位的稳定性,精确测量信号到达和离开对象的时间差异。例如,在光学干涉仪中,相位调制器用于调节光路的相位差,实现纳米级位移测量。
3、光信号处理:在微波光子学中,相位调制器将微波信号加载到光载波上,实现微波信号的光域滤波、频率转换和相位调制。
4、量子操控:在量子通信中,相位调制器用于操控光量子态的相位,确保量子密钥分发的安全性。
五、相位调制器的主要参数:选型时的“关键指标”
选择相位调制器时,需重点关注以下参数:
1、半波电压Vπ:反映调制效率,Vπ越小,调制效率越高。
2、调制带宽:指调制器能够有效工作的频率范围,通常需覆盖信号带宽的2-3倍。例如,对于40Gbps的QPSK信号,调制带宽需≥20GHz。
3、插入损耗:光通过调制器后的功率损耗,反映传输效率。典型值<3dB,低插入损耗可降低系统链路损耗。
4、消光比:在数字调制中,表示“1”和“0”状态下的光功率比,反映调制器的对比度。典型值>20dB,高消光比可降低误码率。
5、偏振依赖性:表示调制器对光偏振态的敏感程度。偏振无关相位调制器适用于任意偏振态的光信号,而偏振相关调制器需配合偏振控制器使用。
6、工作波长范围:指调制器可正常工作的光波长范围。例如,1550nm波段适用于长距离光通信,850nm波段适用于短距离数据通信。
六、相位调制器的驱动模块:从电压源到精密控制
相位调制器的驱动模块需满足以下要求:
1、电压范围:需覆盖调制器的半波电压Vπ。例如,对于Vπ=5V的调制器,驱动电压范围需≥±5V。
2、带宽:需与调制器的调制带宽匹配。例如,对于20GHz的调制器,驱动模块的带宽需≥20GHz。
3、线性度:驱动电压与输出相位需呈线性关系,避免非线性失真。典型线性度误差<1%。
4、噪声:驱动模块的噪声需低于调制器的本底噪声,避免引入额外噪声。典型噪声密度<1mV/√Hz。
5、阻抗匹配:驱动模块的输出阻抗需与调制器的输入阻抗匹配(通常为50Ω),以实现最大功率传输。
典型驱动方案:
射频放大器:将低功率射频信号放大至调制器所需的电压水平。
偏置控制器:为调制器提供稳定的直流偏置电压,避免偏置电压漂移导致的性能下降。
数字预失真(DPD):补偿驱动模块的非线性失真,提升系统线性度。
七、相位调制器的相位测试:
相位调制器的性能测试需覆盖以下方面:
1、静态相位测试:通过干涉仪测量调制器在不同电压下的静态相位变化,验证Vπ的准确性。
2、动态相位测试:通过矢量网络分析仪(VNA)测量调制器的频率响应,验证调制带宽和群延迟特性。
3、插入损耗测试:通过光功率计测量光通过调制器前后的功率变化,计算插入损耗。
4、消光比测试:在数字调制模式下,测量“1”和“0”状态下的光功率比,计算消光比。
5、偏振依赖性测试:通过偏振控制器改变输入光的偏振态,测量调制器输出相位的变化,评估偏振依赖性。
测试工具:
干涉仪:用于静态相位测试和相位不均匀性测量。
矢量网络分析仪(VNA):用于动态相位测试和频率响应分析。
光功率计:用于插入损耗测试。
偏振控制器:用于偏振依赖性测试。
八、相位调制器的选型指南:从需求到产品匹配
选择相位调制器时,需综合考虑以下因素:
1、应用场景:
相干光通信:优先选择低Vπ、高带宽、偏振无关的调制器。
量子通信:优先选择低插入损耗、高消光比的调制器。
光学传感:优先选择高灵敏度、低噪声的调制器。
2、波长范围:
1550nm波段:适用于长距离光通信(如城域网、骨干网)。
850nm波段:适用于短距离数据通信(如数据中心内部互联)。
3、调制带宽:
根据信号带宽选择调制带宽,通常需覆盖信号带宽的2-3倍。
4、预算:
高端调制器(如铌酸锂调制器)价格较高,但性能优异。
中低端调制器(如聚合物调制器)价格较低,适用于成本敏感型应用。
典型产品推荐:
九、相位调制器与强度调制器的区别:相位与强度的“分庭抗礼”
相位调制器与强度调制器(如马赫-曾德尔调制器)的核心区别在于调制方式:
| 参数 | 相位调制器 | 强度调制器 |
| 调制方式 | 改变光波相位 | 改变光波强度 |
| 输出信号 | 光强恒定,相位变化 | 光强变化,相位可能变化 |
| 抗噪声能力 | 强(相位噪声对系统影响小) | 弱(光强噪声易引入误码) |
| 调制效率 | 高(Vπ低) | 低(需更高电压实现相同调制深度) |
| 应用场景 | 相干光通信、量子通信、光学传感 | 数字光通信、模拟光链路 |
典型案例:
在40Gbps QPSK系统中,相位调制器用于调制光载波的相位,而强度调制器用于调制光载波的强度,两者结合实现高阶调制。
在量子密钥分发中,相位调制器用于操控光量子态的相位,而强度调制器用于生成衰减的光脉冲。
十、相位调制器价格参考:从千元到万元的“梯度选择”
相位调制器的价格因类型、性能和应用场景而异。以下为百度爱采购平台上的典型价格参考(以梓冠品牌为例):
| 产品型号 | 波长范围 | 半波电压Vπ | 调制带宽 | 插入损耗 | 价格(元) |
| 梓冠-1550nm-PM-01 | 1550nm | 5V | 20GHz | <1.5dB | 9999 |
| 梓冠-1310nm-PM-02 | 1310nm | 8V | 10GHz | <2.0dB | 7999 |
| 梓冠-850nm-PM-03 | 850nm | 15V | 5GHz | <3.0dB | 4999 |
价格影响因素:
波长范围:1550nm波段调制器价格通常高于850nm波段。
半波电压Vπ:Vπ越低,价格越高。
调制带宽:带宽越高,价格越高。
插入损耗:插入损耗越低,价格越高。
结语:相位调制器——光通信的“隐形引擎”
从5G基站的光模块到量子通信的密钥分发,从数据中心的光互联到光学传感的精密测量,相位调制器以其独特的相位操控能力,成为现代光通信系统的核心器件。随着相干光通信向1Tbps时代迈进,量子通信向实用化发展,相位调制器将继续扮演“隐形引擎”的角色,推动光通信技术向更高速度、更高可靠性、更高集成度的方向演进。选择合适的相位调制器,不仅是技术决策,更是对未来光通信生态的深度布局。