电光调制器:一文带你了解是什么?从工作原理、分类、半波电压、调制带宽、啁啾参数、饱和光功率到电回损与电光带宽解析
电光调制器(Electro-Optic Modulator,EOM)作为光信号与电信号转换的核心器件,在光纤通信、激光雷达、量子计算等前沿领域,其性能直接决定了系统的传输速率、信号质量与可靠性。本文将从核心原理出发,系统解析电光调制器的12项关键参数,并结合实际应用场景,揭示其如何成为光电子技术的“心脏”。
一、电光调制器是什么?
电光调制器是一种利用电光效应(Electro-Optic Effect)实现光信号主动调控的光电子器件。其核心功能是通过外加电场改变晶体材料的折射率,进而控制光波的相位、强度或偏振态。
典型应用场景:
高速光纤通信:100G/200G PAM4调制、相干光通信(如QPSK、16-QAM);
微波光子学:光相位阵列雷达、光学频率梳生成;
量子技术:量子密钥分发(QKD)、量子计算中的光子态操控;
激光技术:巨脉冲输出、光闸控制。

二、电光调制器的工作原理:
电光调制器的工作原理基于电光效应——某些晶体(如铌酸锂LiNbO₃、钽酸锂LiTaO₃)在外加电场作用下,其折射率会发生线性变化(线性电光效应,又称普克尔效应)。当光波通过此类晶体时,其传播特性(相位、振幅或偏振态)会随电场强度同步变化,从而实现光信号的调制。
数学模型:
折射率变化量Δn与电场强度E的关系为:

其中,n为晶体折射率,γ为电光系数(如LiNbO₃的r33≈30.8pm/V)。通过设计晶体结构(如马赫-曾德尔干涉仪MZI),可将相位调制转换为强度调制,实现光信号的“开关”或“编码”。
应用场景:
1、光纤通信:将电信号转换为光信号,实现高速数据传输(如400G/800G光模块)。
2、激光雷达:调制激光脉冲相位,提升测距精度与分辨率。
3、量子计算:操控光子量子态,实现量子比特(qubit)的编码与纠缠。
二、电光调制器的常见种类:
电光调制器按调制方式可分为以下四类,每种类型在性能与应用上各有侧重:
1、马赫-曾德尔强度调制器(MZM)
结构:由两个Y型波导、上下两臂晶体及电极组成,光信号经分束后分别通过两臂,再合并输出。
原理:通过推挽式电极设计,使两臂相位差随电场变化,实现强度调制。
特点:
高消光比(>50dB):理想分光比下可实现近乎完全的“开/关”状态。
低啁啾:推挽结构可抑制相位调制与强度调制的耦合(啁啾参数接近0)。
应用:高速光纤通信(如100G/200G PAM4调制)、光信号处理。

2、相位调制器(PM)
结构:单波导晶体结构,通过单电极施加电场,直接改变光信号相位。
原理:相位变化量:

其中Vπ为半波电压。
特点:
纯相位调制:无强度变化,适用于需要保持光功率恒定的场景。
高频响应:带宽可达100GHz以上,适用于微波光子学。
应用:光相位阵列雷达、光学频率梳生成、量子密钥分发(QKD)。

3、偏振调制器(PolM)
结构:利用双折射晶体(如LiNbO₃)的电光效应,通过电场控制光偏振态。
原理:电场改变晶体双折射率,使输入光的偏振方向(如线偏振→椭圆偏振)或偏振分量比例变化。
特点:
高偏振消光比(>40dB):可实现偏振态的精确控制。
低损耗:波导结构优化后插入损耗可低至2dB。
应用:偏振编码量子通信、偏振敏感传感系统。
4、集成电光调制器
结构:基于硅基(Si)或氮化硅(Si₃N₄)平台的电光调制器,通过异质集成技术将LiNbO₃薄膜与硅波导结合。
原理:利用硅波导的低损耗特性与LiNbO₃的高电光系数,实现小型化与高性能的平衡。
特点:
小型化:尺寸可缩小至毫米级,适用于光子集成电路(PIC)。
低驱动电压:通过电容负载设计,半波电压可低至1V以下。
应用:数据中心光互连、5G前传光模块。
三、电光调制器的关键参数深度解析:从性能到应用的全面解读
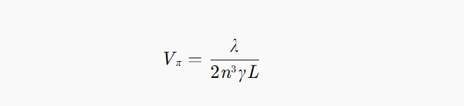
1、半波电压(Vπ):调制效率的“标尺”
定义:使光信号相位变化180°所需施加的电压,数学表达式为:

其中,λ为光波长,n为折射率,γ为电光系数,L为晶体长度。
影响:
调制效率:Vπ越低,相同电压下相位变化越大,调制效率越高。例如,LiNbO₃调制器的Vπ通常为4-8V,而集成调制器可低至1V。
驱动功率:Vπ与驱动功率成正比,低Vπ可降低系统功耗。
应用场景:
高频调制:在微波光子链路中,低Vπ可减少射频信号失真。
便携式设备:如激光雷达传感器,低驱动电压可延长电池寿命。
2、消光比(Extinction Ratio,ER):信号对比度的“度量衡”
定义:调制器输出最大光功率(Pmax)与最小光功率(Pmin)的比值,通常以分贝(dB)表示:

影响:
信号质量:高消光比(>30dB)可减少噪声干扰,提升误码率(BER)性能。
系统灵敏度:在光接收端,高消光比可降低对光功率的要求,延长传输距离。
应用场景:
长距离光纤通信:如跨洋海底光缆,需消光比>40dB以保证信号完整性。
量子通信:高消光比可减少暗计数,提升量子密钥分发(QKD)的安全性。
3、插入损耗(Insertion Loss,IL):光功率的“损耗指标”
定义:调制器引入的光功率衰减,包括波导耦合损耗、晶体吸收损耗等,表达式为:

影响:
系统效率:低插入损耗(<3dB)可减少光功率损耗,降低系统能耗。
成本:高损耗需增加光放大器(如EDFA)补偿,提升系统成本。
优化方法:
波导耦合优化:采用倒锥形或光栅耦合器,减少模式失配损耗。
材料选择:使用低吸收系数材料(如Si₃N₄)替代高损耗材料。
4、调制带宽(Modulation Bandwidth):数据速率的“天花板”
定义:调制器能够无失真传输的最高射频信号频率,通常由电光响应速度决定。
影响因素:
电极设计:行波电极可实现速度匹配,提升带宽至100GHz以上。
材料特性:LiNbO₃的电光响应时间<1ps,支持超高速调制。
应用场景:
5G/6G通信:需调制带宽>50GHz以支持毫米波频段(24-100GHz)。
数据中心:400G/800G光模块需调制带宽>67GHz以实现PAM4调制。
5、传输函数的线性度:信号保真度的“守护者”
定义:调制器输出光功率与输入电信号之间的线性关系程度,通常用二次谐波失真(HD2)或三阶交调失真(IMD3)衡量。
影响:
信号质量:高线性度可减少谐波失真,提升信号保真度。
动态范围:线性度越好,系统可处理的信号功率范围越大。
优化方法:
偏置点控制:通过反馈算法动态调整直流偏置电压,使调制器工作在线性区。
预失真补偿:在驱动电路中引入预失真模块,抵消调制器非线性。
6、电回损(Electrical Return Loss,S11)与电光带宽(S21):射频性能的“双指标”
定义:
电回损(S11):调制器射频端口反射功率与入射功率的比值,反映阻抗匹配程度。
电光带宽(S21):调制器射频信号到光信号的转换效率随频率的变化特性。
影响:
信号完整性:低S11(<-10dB)可减少射频信号反射,避免驻波效应。
高频响应:高S21(>0dB)可确保高频信号无衰减传输。
测试方法:
使用矢量网络分析仪(VNA)测量S11/S21参数
7、偏置点/工作点:调制器的“稳定锚点”
定义:调制器直流偏置电压对应的输出光功率状态,通常需工作在最大传输点(MIT)或最小传输点(NOT)。
挑战:
温度漂移:电光系数随温度变化,导致偏置点偏移。
应力效应:机械振动或热应力可能改变晶体折射率,影响偏置稳定性。
解决方案:
自动偏置控制(ABC):通过光电探测器反馈信号,动态调整偏置电压。
机器学习算法:如基于神经网络的偏置点预测,可提前补偿偏置点漂移。
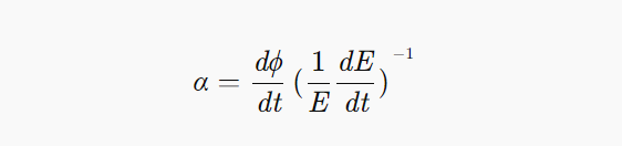
8、啁啾参数(Chirp Parameter):相位与强度的“耦合系数”
定义:调制器输出光信号的瞬时相位变化与强度变化的比值,数学表达式为:

影响:
色散补偿:在光纤通信中,负啁啾(α<0)可抵消光纤正色散,延长传输距离。
信号失真:高啁啾会导致脉冲展宽,限制系统带宽。
优化方法:
推挽结构:MZM的推挽电极设计可使啁啾参数接近0。
外调制技术:将强度调制与相位调制分离,减少耦合效应。
9、饱和光功率(Saturation Power):光损伤的“临界阈值”
定义:调制器输出光功率不再随输入功率线性增长时的最大输入光功率,通常由光损伤(如双光子吸收、热损伤)决定。
影响:
系统可靠性:超过饱和光功率可能导致调制器性能退化或永久损坏。
功率预算:需确保输入光功率低于饱和值,以保留足够功率余量。
测试方法:
通过逐渐增加输入光功率,监测输出光功率与输入功率的线性关系,确定饱和点。
10、驱动电压摆幅(Drive Voltage Swing):信号驱动的“动力源”
定义:调制器驱动电路能够提供的最大电压变化范围,通常需覆盖Vπ的2-3倍以实现全调制深度。
影响:
调制深度:高驱动电压摆幅可实现更大的相位或强度变化,提升信号对比度。
系统成本:高摆幅需高功率驱动电路,增加系统复杂度与成本。
优化方法:
低Vπ调制器:选择低半波电压材料(如集成LiNbO₃)以降低驱动电压需求。
高效驱动电路:采用高电压摆幅放大器(如行波放大器)提升驱动能力。
四、未来展望:电光调制器的“进化方向”
随着光通信、量子计算与人工智能的快速发展,电光调制器正朝以下方向演进:
1、集成化:硅基集成电光调制器将进一步缩小尺寸,降低成本,推动光子集成电路(PIC)普及。
2、高频化:调制带宽将突破200GHz,支持太赫兹(THz)频段应用。
3、智能化:结合机器学习算法,实现偏置点自动控制与非线性补偿,提升系统稳定性。
4、新材料:探索新型电光材料(如二维材料、铁电晶体),进一步提升调制效率与性能。
电光调制器作为光电子技术的核心器件,其性能的每一次突破都将推动光通信、量子计算与传感领域的革命。未来,随着材料科学、集成电路设计与人工智能的深度融合,电光调制器必将开启光速时代的新篇章。