光纤光栅的透过率怎么算?从理论到应用的深度解析
光纤光栅作为光通信与传感领域的核心器件,其透过率特性直接决定了器件的滤波性能、信号调制效率及环境适应性。四川梓冠光电文将从透过率的理论模型出发,系统解析其工作原理、关键特性、应用场景及封装技术,为光子技术工程师提供从基础理论到工程实践的完整知识框架。
一、透过率的理论基础:耦合模理论的数学表达
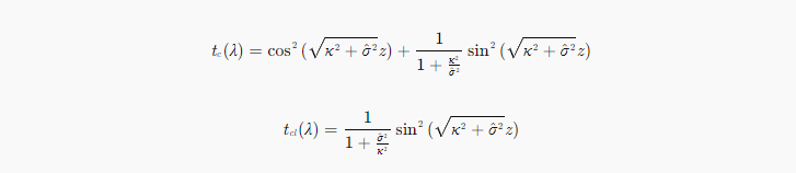
光纤光栅的透过率本质上是光波在周期性折射率调制结构中的能量分配问题。根据耦合模理论,当宽谱光入射至光纤光栅时,满足布拉格条件的光波(波长λ_B=2n_effΛ,其中n_eff为纤芯有效折射率,Λ为光栅周期)被强烈反射,其余波长则透射通过。透过率t(λ)的数学表达式可分解为导模透过率t_c和包层模透过率t_cl:

其中,κ为耦合系数,为失谐量,z为光栅长度。当(即入射光波长完全匹配布拉格条件)时,包层模透过率达到最大值:

这一公式揭示了光纤光栅透过率的核心特性:透过率与光栅周期、折射率调制深度及光栅长度呈非线性关系。例如,在长周期光纤光栅(LPG)中,周期Λ达数百微米,耦合发生在纤芯模与包层模之间,导致特定波长光的损耗(透射光谱中出现损耗峰),而非强烈反射。

二、光纤光栅的工作原理:布拉格衍射的物理机制
光纤光栅的透过率特性源于其独特的布拉格衍射效应。当光波在光纤中传播时,周期性折射率调制结构(光栅)相当于一系列等间距的“反射镜”。满足布拉格条件的光波(相位匹配条件:λ_B=2n_effΛ)在各反射面反射后相干叠加,形成反射峰;其余波长则因相位错乱而透射通过。这一过程可类比于多缝干涉:
1、反射峰:中心波长λ_B处,反射光强随光栅长度L呈sin2(2πneffL/λB)分布,形成尖锐的峰值。
2、透射谷:在透射光谱中,λ_B处出现明显的损耗峰,其深度与光栅的耦合强度(κL)直接相关。
典型案例:在光纤激光器中,光纤布拉格光栅(FBG)作为腔镜,通过精确控制其反射带宽(半高宽Δλ_B≈λ_B²Δn/(2n_eff L)),可实现单纵模输出。例如,当λ_B=1550nm、Δn=10⁻⁴、L=10mm时,Δλ_B≈0.01nm,满足高精度波长选择需求。
三、光纤光栅的核心特性:
光纤光栅的透过率特性可通过以下参数量化描述:
| 特性参数 | 物理意义 | 典型值(FBG) |
| 中心波长λ_B | 反射/透射峰的中心位置 | 1550nm(通信波段) |
| 反射带宽Δλ_B | 反射峰的半高宽 | 0.1-10nm(依赖光栅长度) |
| 边模抑制比 | 主峰与侧峰的功率比 | >50dB(切趾光栅) |
| 温度灵敏度 | 单位温度变化引起的波长漂移 | ~10pm/℃(未封装) |
| 应变灵敏度 | 单位应变引起的波长漂移 | ~1.2pm/με |
关键特性分析:
1、线性响应:在温度或应变作用下,λ_B的漂移量与物理量变化呈严格线性关系。例如,在结构健康监测中,通过测量λ_B的偏移量(Δλ_B=K_TΔT+K_εΔε,其中K_T、K_ε为温度与应变灵敏度系数),可同时解算温度与应变信息。
2、非线性调控:通过啁啾光栅(周期沿轴向渐变)或相移光栅(引入相位突变),可实现群时延调控或带通滤波。例如,啁啾光栅的色散值D=Δλ_B/(ΔL·Δf)(ΔL为光栅长度变化,Δf为频率变化),可用于超快激光器的脉冲压缩。
四、光纤光栅的应用领域:
光纤光栅的透过率特性使其成为光子技术的“万能工具”,其应用场景包括:
1、光通信系统:
波分复用(WDM):作为解复用器,通过级联FBG分离不同波长信道(如1550nm波段的16通道WDM系统)。
色散补偿:啁啾光栅的群时延特性可补偿光纤链路的色散(如40Gbps系统中,10km标准单模光纤的色散为170ps/nm,需通过啁啾光栅提供-170ps/nm的补偿)。
2、光纤传感:
温度/应变监测:在航空航天领域,埋入复合材料结构中的FBG传感器可实时监测飞行器的应力分布(如某型飞机机翼部署200个FBG,实现毫米级应变分辨率)。
化学传感:长周期光栅对外部折射率变化敏感,可用于油气管道泄漏检测(如甲烷泄漏时,LPG的共振波长偏移量达10nm/RIU)。
3、量子信息:
量子密钥分发(QKD):FBG作为波长选择器,在BB84协议中生成四态编码(0、π/2、π、3π/2相位),确保通信安全性。
光子纠缠源:通过调控FBG的相位响应,可生成高保真度纠缠光子对(纠缠度>90%)。
五、光纤光栅的封装技术:
光纤光栅的透过率特性对环境干扰(如温度、湿度、机械振动)极为敏感,因此需通过封装技术实现性能稳定化。封装技术可分为三类:
1、保护性封装:
目的:防止光纤光栅因机械损伤或化学腐蚀失效。
实例:采用金属陶瓷封装材料,将FBG嵌入高导热系数基座中,使温度响应速度提升50%,测温精度达±0.1℃(适用于电力电子设备监测)。
2、敏化封装:
目的:增强光纤光栅对特定物理量的灵敏度。
实例:在应变传感器中,采用柔性基底封装(如聚酰亚胺),使应变传递效率达98%,分辨率达1με(适用于桥梁健康监测)。
3、补偿性封装:
目的:消除交叉敏感效应(如温度与应变同时作用时的波长漂移)。
实例:采用双FBG差分结构,通过测量两个FBG的波长差(Δλ=λ_B1-λ_B2),实现温度与应变的独立解算(解耦精度<0.1με/℃)。
封装工艺创新:某研究团队通过微纳制造技术,在FBG表面沉积纳米级金膜,形成表面等离子体共振(SPR)结构,使折射率传感灵敏度提升至3000nm/RIU(传统LPG的10倍),适用于生物分子检测等高精度场景。
六、结语:
光纤光栅的透过率特性不仅是理论物理的优雅数学表达,更是光子技术从实验室走向工业化的核心驱动力。从40Gbps光通信系统的色散补偿,到航空航天结构的健康监测,再到量子计算机的光子纠缠源,光纤光栅以其独特的透过率调控能力,持续重塑着光子技术的边界。未来,随着薄膜铌酸锂工艺与智能封装技术的融合,光纤光栅的透过率特性将进一步优化,为6G通信、量子计算与高精度传感等领域提供关键器件支撑。