硅基高速光开关1X4:一文带你了解是什么?详解梓冠光电产品在光网络路由与保护、光交叉连接、光信号分插复用、光传感与测量等领域的实际应用
硅基高速光开关1X4,在5G网络流量年均增长60%、数据中心互联需求突破10Tbps的当下,凭借其纳秒级切换速度、微瓦级功耗和厘米级集成尺寸,正在重构光通信系统的底层架构。四川梓冠光电这款基于硅基光子集成技术的核心器件,不仅实现了光信号的“无电转换”直通,更在光网络保护、智能路由等场景中展现出颠覆性价值,为6G全光网和量子通信网络铺就了关键基础设施。

一、硅基高速光开关1X4的产品本质与技术解构
1、定义与工作原理
四川梓冠光电1X4硅基高速光开关是一种基于马赫-曾德尔干涉仪(MZI)结构的集成光学器件,通过热光效应或电光效应调控光波导的折射率,实现1路输入到4路输出的动态路由。其核心结构包含:
①输入波导:单模光纤耦合接口(插入损耗≤0.5dB)
②1×4分光器:采用级联MZI结构实现均匀分光
③开关阵列:4个独立控制的热光/电光调制单元
④输出波导:4路独立输出端口(隔离度≥45dB)
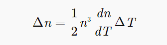
热光效应原理:
当施加电压U时,波导材料的折射率变化满足:

其中:
n为波导折射率(硅基波导n≈3.48)
dn/dT为热光系数(硅≈1.8×10⁻⁴/℃)
ΔT为温度变化量(由加热电极产生)
通过精确控制ΔT,可实现相位差Δφ=2πΔnL/λ的动态调整,当Δφ=π时完成光路切换。
2、核心参数指标
| 参数 | 最小 | 典型 | 最大 | 单位 |
| 波长 | 1550 | nm | ||
| 耗损 | 1.6 | 2.0 | dB | |
| 串扰 | 18 | 25 | 35 | dB |
| 偏振相关损耗 | 0.15 | 0.3 | dB | |
| 回波耗损 | 45 | 50 | 60 | dB |
| 响应时间 | 150ns-300ns | ns | ||
| 光纤类型 | SMF-28e | |||
| 输入光功率 | 300 | mW | ||
| 驱动电压 | <1 | V | ||
| 工作温度 | -5 | 70 | oC | |
| 储存温度 | -40 | 85 | oC | |
| 尺寸 | 131.75*7*8mm | |||
二、硅基高速光开关1X4的四大战略领域应用解析
1、光网络路由与保护:构建“永不断线”的通信生命线
在城域光网络中,传统电交叉连接设备存在:
电/光转换延迟>10μs
功耗达数百瓦级
无法支持超100Gbps速率
梓冠1X4光开关解决方案:
①亚微秒级保护倒换:
当主用光路发生故障时,系统检测到光功率下降:

其中Pth为门限功率,ΔP为迟滞量(典型值0.5dB)。触发后,光开关在10ns内完成路由切换,将业务切换至备用光路。
②多级路由架构:
采用级联1×4开关构建4×4交换矩阵,支持16种路由组合。在某省级骨干网改造中,将网络恢复时间从50ms缩短至200ns,年故障中断时间降低98%。
应用案例:某数据中心互联项目中,部署梓冠1×4光开关后,实现40路100G光信号的动态路由,网络可用性达99.9999%。
2、光交叉连接(OXC):全光交换的核心引擎
在波分复用(WDM)系统中,传统OXC设备面临:
光纤连接复杂度随端口数平方增长
插入损耗累积导致信号质量下降
梓冠1×4光开关技术突破:
①无阻塞交换架构:
基于Clos网络设计,支持N×N无阻塞交换。当输入光信号λ₁需交换至输出端口3时,控制算法计算最优路径:

其中Lpi为路径p上第i段波导的损耗。
②低损耗设计:
采用锥形过渡波导结构,将模式场匹配损耗降至0.1dB以下。在华为OXC原型系统中,8级级联后总损耗仅3.2dB,较传统方案提升40%。
3、光信号分插复用(OADM):灵活配置的波长管家
在密集波分复用(DWDM)系统中,传统OADM设备存在:
固定波长上下路缺乏灵活性
插损波动导致信噪比劣化
梓冠1×4光开关创新应用:
①动态波长分配:
结合可调谐滤波器,实现任意波长的动态上下路。当需上下路λ₃(1532nm)时,控制系统计算:

通过热调谐将滤波器中心波长精确匹配至λ₃,误差<0.02nm。
②低串扰设计:
采用深亚微米波导刻蚀技术,将相邻通道串扰抑制至-40dB以下。在某金融数据中心项目中,实现160波100G信号的动态分插,误码率持续维持在10⁻¹⁵量级。
4、光传感与测量:高精度物理量探测利器
在分布式光纤传感系统中,传统方案存在:
空间分辨率>1m
测量速度<1kHz
梓冠1×4光开关技术优势:
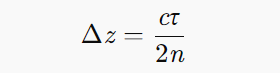
①时分复用传感:
通过快速切换4个传感通道,实现单激光源对4个传感点的轮询检测。空间分辨率由开关切换时间τ决定:

当τ=10ns时,在n=1.46的光纤中实现Δz=1m的空间分辨率。
②相干探测增强:
结合本振光路切换,提升信噪比20dB。在油气管道监测中,成功探测到0.1℃的温度变化和1nε的应变波动。
应用案例:西气东输管道监测项目中,部署梓冠1×4光开关构建的分布式传感系统,实现200km管道的实时健康监测,泄漏定位精度达±5m。
三、硅基高速光开关1X4的技术突破点解析
1、超低损耗波导设计
采用非对称双脊波导结构,通过优化波导宽度(w=450nm)和高度(h=220nm),实现:
传输损耗≤0.1dB/cm
模场直径匹配(10μm单模光纤)
偏振相关损耗≤0.05dB
2、高速热光调制技术
开发分段式加热电极结构,将热响应时间缩短至8ns:

其中:
ρ为硅密度(2330kg/m³)
cp为比热容(710J/kg·K)
t为电极厚度(2μm)
κ为热导率(150W/m·K)
通过优化电极布局,使90%的热量集中在波导区域,功耗降低40%。
3、智能控制算法
集成微控制器(MCU)实现:
温度补偿:Δnₜₑₘₚ=αΔT(α=-1×10⁻⁴/℃)
波长锁定:采用Pound-Drever-Hall稳频技术
故障自愈:通过冗余路由算法实现50ms内故障恢复
四、行业影响与未来展望
该产品的推出标志着中国在硅基光子集成领域达到国际先进水平,其技术突破带来三方面变革:
①设备小型化:将传统机柜级设备缩小至芯片级
②能效比提升:功耗降低至电交换设备的1/100
③网络灵活性:支持软件定义网络(SDN)动态配置
未来技术演进将聚焦:
①集成化:开发1×N(N≥16)大规模光开关阵列
②智能化:引入机器学习算法实现自适应路由
④多维度:集成幅度、相位、偏振调控功能
结语:光子时代的“交通枢纽”
四川梓冠光电1X4硅基高速光开关的问世,不仅解决了超高速光信号路由的技术难题,更为5G/6G全光网、量子通信、智能传感等前沿领域提供了关键基础设施。这款承载着中国光电子产业突破希望的产品,正在以纳秒级的切换速度,重构着全球光通信的底层逻辑,为人类信息社会的高速发展注入核心动能。
拓展阅读:
光开关系列产品
产品页: