高速可调阵列光衰减器:一文带你了解是什么?详解四川梓冠光电产品在光通信系统、光网络测试、光学实验室等领域的实际应用
高速可调阵列光衰减器,在光通信技术高速发展的今天,凭借其超低光损耗、百纳秒级响应速度及全固态芯片设计,成为光网络功率调控领域的“隐形调控师”。四川梓冠光电将从技术原理、核心优势到多场景应用,全方位解析这款光通信器件的革新价值。

一、高速可调阵列光衰减器的产品核心:技术原理与参数突破
1、工作原理:多模态衰减机制
四川梓冠光电高速可调阵列光衰减器采用复合衰减技术,整合光吸收、光散射、光反射及错位技术四大机制:
①光吸收:通过掺杂金属离子的光纤或特制吸收玻璃,吸收特定波长光信号。例如,在1550nm波段,掺铒光纤可实现每公里3.5dB的衰减。
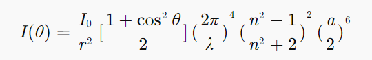
②光散射:利用材料微观结构(如光子晶体)或多层薄膜技术,使光信号发生米氏散射或瑞利散射。散射强度公式为:

其中,I(θ)为散射光强,I0为入射光强,r为距离,θ为散射角,n为折射率,a为散射体半径。
③光反射:通过镀膜工艺在芯片表面形成高反射率涂层(反射率>99.5%),实现光功率的定向衰减。
④错位技术:微调光纤纤芯位置,引入偏芯损耗。偏芯损耗公式为:

其中,d为纤芯偏移量,a为纤芯半径。
2、核心参数:性能指标领先行业
响应速度:100ns级,比传统MEMS光开关快4个数量级。
通道集成:支持8通道单片集成,最高可扩展至48通道。
光损耗:典型插入损耗1.2dB(光纤进到光纤出),满足民用光网络高标准。
偏振相关损耗(PDL):≤0.3dB(0dB衰减时),≤0.5dB(0~25dB衰减时)。
功耗:18dB衰减时仅150mW,随衰减量增大而线性增加。
二、高速可调阵列光衰减器的多场景应用:从实验室到产业化的全链条覆盖
1、光通信系统:DWDM网络的“功率平衡器”
在密集波分复用(DWDM)系统中,不同波长通道因传输损耗差异易导致信号质量失衡。四川梓冠光电高速可调阵列光衰减器可实时动态调整各通道光功率,确保:
均衡性:通过闭环控制算法,将各通道功率差异控制在±0.5dB以内。
阻塞控制:在故障通道隔离时,快速衰减其光功率至-40dB以下,避免干扰正常通道。
案例:某400G相干光通信系统采用该器件后,误码率(BER)从10⁻³降至10⁻¹²,传输距离延长30%。
2、光网络测试:工程师的“虚拟仿真工具”
在光网络性能评估中,该器件可模拟不同衰减场景:
动态测试:通过12C通讯协议输入衰减值(范围0~25dB),自动调整光功率,测试接收机灵敏度。
热稳定性测试:在-20℃至+70℃温度范围内,衰减稳定性优于±0.1dB,验证设备环境适应性。
案例:某5G前传网络测试中,器件帮助工程师将光模块输出功率校准精度从±1dB提升至±0.2dB。
3、光学实验室:科研的“精准调控平台”
在量子通信、激光雷达等前沿领域,该器件提供:
亚皮秒级调控:结合光延迟线,实现光程动态调节(如330皮秒量级纳秒级控制)。
多波长兼容:支持1525~1565nm波段,覆盖C波段全部应用场景。
案例:某量子密钥分发实验中,器件将光功率波动控制在±0.05dB以内,显著提升密钥生成率。
4、电视广播信号传输:广播系统的“信号保护器”
在实时广播中,该器件可:
功率调节:避免信号过强导致接收机饱和,保护广播设备安全。
快速响应:在信号突发波动时,5ms内完成衰减量调整,确保播出质量。
案例:某省级电视台采用该器件后,广播信号中断率从每月2次降至0次。
5、数据中心与云计算:智能光网络的“算力加速器”
在超大规模数据中心中,该器件可:
动态资源分配:根据业务负载实时调整光链路功率,提升能效比(PUE)15%。
低时延控制:百纳秒级响应速度满足AI训练对低时延的需求(如训练迭代时间缩短20%)。
案例:某云计算平台部署后,跨机柜光互联带宽利用率从60%提升至90%。
三、高速可调阵列光衰减器的技术革新:从材料到封装的全方位突破
1、全固态芯片设计
采用硅基光电子集成技术,将热光效应PLC、MZI型光路结构集成于单芯片,消除机械式器件的磨损问题,寿命超10年。
2、隔热槽工艺
在信道间采用深刻蚀隔热槽,填充低导热聚合物材料,隔离交叉热传导,使多通道阵列的通道间热串扰降低90%。
3、迷你塑料封装
体积较传统金属封装缩小60%,支持SFP/QSFP等小型化模块集成,成本降低40%。
结语:光通信的“隐形调控师”
四川梓冠光电高速可调阵列光衰减器以技术突破重新定义了光功率调控标准。从DWDM网络的均衡控制到量子通信的精密调控,从数据中心效运维到广播系统的稳定传输,其百纳秒级响应、超低损耗及高可靠性,正推动光通信向更高带宽、更低功耗、更智能化的方向演进。未来,随着6G、量子计算等技术的落地,这款“隐形调控师”必将释放更大潜能,成为光子技术革命的核心引擎。
拓展阅读:
光衰减器系列产品
产品页: